# 并发编程

  • 并发 是多线程程序在一个核的 cpu 上运行
    image.png

  • 并行 是多线程程序在多个核的上运行
    image.png

  • Go 可以充分发挥多核优势,高效运行
    一个重要概念

# 协程

  • 协程的开销比线程小,可以理解为轻量级的线程,一个 Go 程序中可以创建上万个协程。

Go 中 开启协程 非常简单,在函数前面增加一个 go 关键字就可以为一个函数开启一个协程。

# CSP 与 Channel

CSP(Communicating Sequential Process)

Go 中提倡通过 通信共享内存 而不是通过共享内存而实现通信

那么如何通信呢,通过 channel

# Channel

语法: make(chan 元素类型, [缓冲大小])

  • 无缓冲通道 make(chan int)
  • 有缓冲通道 make(chan int, 2)
    这个图就非常的生动形象~
    image.png

image.png

以下是一个例子:

  • 第一个协程 作为生产者发送 0~9src
  • 第二个协程 作为消费者计算 src 中每个数的平方发送到 dest
  • 主线程输出 dest 中每个数
package main
func CalSquare() {
   src := make(chan int)     // 生产者
   dest := make(chan int, 3) // 消费者 带缓冲解决生产者太快的问题
   go func() {               // 该线程发送 0~9 至 src 中
      defer close(src) //defer 表示延迟到函数结束时执行 用于释放已分配的资源。
      for i := 0; i < 10; i++ {
         // <- 运算符 左侧为收集数据的一方 右侧为要传的数据
         src <- i
      }
   }() // 立即执行
   go func() {
      defer close(dest)
      for i := range src {
         dest <- i * i
      }
   }()
   for i := range dest {
      // 其他复杂操作
      println(i)
   }
}
func main() {
   CalSquare()
}

可以看到每次都会是顺序输出,代表着 Go 是 并发安全的

Go 语言也保留了共享内存的做法,使用 sync 进行同步,如下

package main
import (
   "sync"
   "time"
)
var (
   x    int64
   lock sync.Mutex
)
func addWithLock() { //x 加到 2000 使用锁则很安全
   for i := 0; i < 2000; i++ {
      lock.Lock() // 加锁
      x += 3
      x -= 2
      lock.Unlock() // 解锁
   }
}
func addWithoutLock() { // 不使用锁
   for i := 0; i < 2000; i++ {
      x += 3
      x -= 2
   }
}
func Add() {
   x = 0
   for i := 0; i < 5; i++ {
      go addWithoutLock()
   }
   time.Sleep(time.Second) // 休眠 1s
   println("WithoutLock x =", x)
   x = 0
   for i := 0; i < 5; i++ {
      go addWithLock()
   }
   time.Sleep(time.Second) // 休眠 1s
   println("WithLock x =", x)
}
func main() {
   Add()
}

ps:试了好多次都没冲突,乐。把运算稍微改复杂一点就有冲突了

image.png

# 依赖管理

任何大型项目开发都绕不开依赖管理,Go 中的依赖主要经历了 GOPATH -> Go Vendor -> Go Module 的演变 而现在主要采用 Go Module 的方式

  • 不同环境依赖的版本不同,所以如何控制依赖库的版本?

# GOPATH

  • 项目代码直接依赖 src 下的代码
  • 通过 go get 下载最新版本的包到 src 目录下

这样的话,就会出现一个问题:无法实现多版本的控制(A、B 依赖于同一个包的不同版本,寄)

# Go Vender

  • 项目目录下新增 vendor 文件,所有依赖包副本形式放在其中
  • 通过 vendor => GOPATH 的方式曲线救国

ps:感觉挺像前端的 package.json…… 依赖问题真是绕不过去

这又产生了新的问题:

  • 无法控制依赖的版本
  • 更新项目时可能出现依赖冲突,从而导致编译出错

# Go Module

  • 通过 go.mod 文件管理依赖包版本
  • 通过 go get/go mod 指令工具管理依赖包

达成了终极目标:既能定义版本规则,又能管理项目依赖关系

可以类比一下 Java 中的 Maven

# 依赖配置 go.mod

依赖标识语法:模块路径 + 版本来进行唯一标识

[Module Path][Version/Pseudo-version]

module example/project/app     依赖管理基本单元
go 1.16     原生库
require (    单元依赖
    example/lib1 v1.0.2
    example/lib2 v1.0.0 // indirect
    example/lib3 v0.1.0-20190725025543-5a5fe074e612
    example/lib4 v0.0.0-20180306012644-bacd9c7ef1dd // indirect
    example/lib5/v3 v3.0.2
    example/lib6 v3.2.0+incompatible
)

如上,需要注意的是:

  • 主版本 2 + 的模块会在路径后增加 /vN 后缀
  • 对于没有 go.mod 文件且主版本 2 + 的依赖,会 +incompatible
    依赖的版本规则分为语义化版本和基于 commit 的伪版本

# 语义化版本

格式为: ${MAJOR}.${MINOR}.${PATCH} V1.3.0、V2.3.0、 ……

  • 不同的 MAJOR 版本表示是不兼容的 API
    • 即使是同一个库,MAJOR 版本不同也会被认为是不同的模块
  • MINOR 版本通常是新增函数或功能向后兼容
  • PATCH 版本一般是 修复 bug

# 基于 commit 的版本

格式为: ${vx.0.0-yyyymmddhhmmss-abcdefgh1234}

  • 版本前缀是和语义化版本一样的
  • 时间戳 ( yyyymmddhhmmss ),也就是提交 Commit 的时间
  • 校验码 ( abcdefgh1234 ), 12 位的哈希前缀
    • 每次提交 commit 后 Go 都会默认生成一个伪版本号

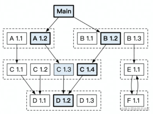
# 小测试

image.png

  1. 如果 X 项目依赖了 A、B 两个项目,且 A、B 分别依赖了 C 项目的 v1.3、v1.4 两个版本,依赖图如上,最终编译时所使用的 C 项目的版本为
    • v1.3
    • v1.4
    • A 用到 c 时用 v1.3 编译,B 用到 c 时用 v1.4 编译

    答案为:B 选择最低的兼容版本
    这个是 Go 进行版本选择的算法,选择最低的兼容版本,而 1.4 版本是向下兼容 1.3 的(语义化版本)。为什么不选 1.3 呢?因为他又不会向上兼容 ovo,倘若还有 1.5 的话则不会选用 1.5,因为 1.4 就是满足要求的最低兼容版本。

# 依赖分发

这些依赖去哪里下载呢?就是依赖分发

在 github 等代码托管系统中对应仓库上下载?

github 是比较常见给的代码托管系统平台,而 Go Modules 系统中定义的依赖,最终可以对应到多版本代码管理系统中某一项目的特定提交或版本

对于 go.mod 中定义的依赖,可以从对应仓库中下载指定软件依赖,从而完成依赖分发。

问题也有:

  • 无法保证构建确定性
    • 软件作者直接修改软件版本,导致下次构建使用其他版本的依赖,或者找不到依赖版本
  • 无法保证依赖可用性
    • 软件作者直接代码平台删除软件,导致依赖不可用
  • 增加第三方代码托管平台压力

通过 Proxy 方式来解决以上问题

Go Proxy 是一个服务站点,它会缓存源站中的软件内容,缓存的软件版本不会改变,并且在源站软件删除之后依然可用

使用 Go Proxy 之后,构建时会直接从 Go Proxy 站点拉取依赖。

Go Modules 通过 GOPROXY 环境变量控制如何使用 Go Proxy

服务站点 URL 列表,direct 表示源站: GOPROXY="https://proxy1.cn, https://proxy2.cn,direct"

  • GOPROXY 是一个 Go Proxy 站点 URL 列表,可以使用 direct 表示源站。整体的依赖寻址路径,会优先从 proxy1 下载依赖,如果 proxy1 不存在,就下到 proxy2 寻找,如果 proxy2 也不存在则会回源到源站直接下载依赖,缓存到 proxy 站点中。

# 工具

go get example.org/pkg

后缀含义
@update默认
@none删除依赖
@v1.1.2tag 版本,语义版本
@23dfdd5特定的 commit
master分支的最新 commit

go mod

后缀含义
init初始化,创建 go.mod 文件
download下载模炔到本地缓存
tidy增加需要的依赖,删除不需要的依赖

go mod tidy 可以在每次提交代码前执行一下,就可以减少构建整个项目的时间

# 测试

测试一般分为回归测试集成测试单元测试,从前到后覆盖率逐层变大成本却逐层降低,所以单元测试的覆盖率一定程度上决定这代码的质量。

  • 回归测试一般是 QA 同学手动通过终端回归一些固定的主流程场景
  • 集成测试是对系统功能维度做测试验证
  • 单元测试测试开发阶段,开发者对单独的函数、模块做功能验证

单元测试主要包括:输入测试单元输出以及校对

单元的概念较广,包括接口,函数,模块等,用最后的校对来保证代码的功能与我们的预期相符

单元测试有以下几点好处

  • 保证质量
    • 整体覆盖率足够时下,既保证了新功能正确性,又未破坏原有代码的正确性
  • 提升效率
    • 代码有 bug 的情况下,通过单测,可以在一个较短周期内定位和修复问题

Go 中的单元测试有以下规则:

  • 所有测试文件以 _test.go 结尾
  • func TestXxx(testing.T)
  • 初始化逻辑放到 TestMain 函数中(测试前的数据装载配置、测试后的释放资源等)

例子:
main.go

package main
func HelloTom() string {
   return "Jerry"
}

main_test.go

package main
import "testing"
func TestHelloTom(t *testing.T) {
   output := HelloTom()
   expectOutput := "Tom"
   if output != expectOutput {
      t.Errorf("Expect %s do not match actual %s", expectOutput, output)
   }
}

image.png

在实际项目中,单测覆盖率

  • 一般项目的要求是 50%~60% 覆盖率
  • 对于重要的资金型服务,覆盖率可能要求达到 80%

单测需要保证稳定性幂等性

  • 稳定是指相互隔离,能在任何时间,任何环境,运行测试
  • 幂等是指每一次测试运行都应该产生与之前一样的结果

而要实现这一目的就要用到 mock 机制。

bouk/monkey: Monkey patching in Go

monkey 是一个开源的 mock 测试库,可以对 method,或者实例的方法进行 mock,反射,指针赋值 Mockey Patch 的作用域在 Runtime,在运行时通过 Go 的 unsafe 包,能够将内存中函数 A 的地址替换为运行时函数 B 的地址,将待打桩函数的实现跳转。

Go 语言还提供了基准测试框架

  • 基准测试是指测试一段程序的运行性能及耗费 CPU 的程度。

而我们在实际项目开发中,经常会遇到代码性能瓶颈问题,为了定位问题经常要对代码做性能分析,这就用到了基准测试。使用方法类似于单元测试

提到了 fastrand ,地址: bytedance/gopkg: Universal Utilities for Go

# 总结及心得

本节课主要讲了 Go 中的并发管理、依赖配置和测试,内容较多,需要好好消化。后面还有个项目实践环节,等明天在进行一个实践。

本节课内容来源于第三届青训营赵征老师的课程

更新于 阅读次数

请我喝[茶]~( ̄▽ ̄)~*

cos 微信支付

微信支付

cos 支付宝

支付宝