day16 题目:bytedance-007. 化学公式解析、129. 求根节点到叶节点数字之和、239. 滑动窗口最大值
学习计划链接:冲刺春招 - 精选笔面试 66 题大通关
今日知识点:正则、树、dfs、滑动窗口,难度为字节の简单、中等、困难
昨日题目链接:冲刺春招 - 精选笔面试 66 题大通关 day15
# bytedance-007. 化学公式解析
给定一个用字符串展示的化学公式,计算每种元素的个数。规则如下:
- 元素命名采用驼峰命名,例如
Mg ()代表内部的基团,代表阴离子团[]代表模内部链节通过化学键的连接,并聚合
例如:H2O => H2O1 Mg (OH) 2 => H2Mg1O2
格式:
输入:
- 化学公式的字符串表达式,例如:K4[ON(SO3)2]2 。
输出:
- 元素名称及个数:K4N2O14S4,并且按照元素名称升序排列。
示例:
输入:K4[ON(SO3)2]2
输出:K4N2O14S4
# 思路
评论区大神思路,惊为天人。
- 正则匹配先将所有小括号展开
- 再将所有大括号展开
- 然后将原子展开:
Mg4->MgMgMgMg - 最后就是统计词频然后排序即可
# 代码
var input = require('fs').readFileSync('/dev/stdin', 'utf8').trim().split('\n')[0] | |
function replacer(match, str, k) { | |
k = k? parseInt(k): 1; | |
return str.repeat(k) | |
} | |
input = input.replace(/\((.+)\)(\d+)/g, replacer) // 小括号替换 | |
input = input.replace(/\[(.+)\](\d+)/g, replacer) // 中括号替换 | |
input = input.replace(/([A-Z][a-z]?)(\d+)/g, replacer) // 原子展开 | |
var map = new Map() | |
var ans = [] | |
input = input.match(/[A-Z][a-z]?/g) | |
for(let i = 0; i < input.length; ++i) { | |
let ch = input[i] | |
if(!map.has(ch)) { | |
map.set(ch, ans.length) | |
ans.push([ch, 1]) | |
} else { | |
let key = map.get(ch) | |
++ans[key][1] | |
} | |
} | |
ans = ans.sort((a, b) => a[0].localeCompare(b[0])); | |
console.log(ans.toString().replace(/\,/g, '')) |
# 129. 求根节点到叶节点数字之和
给你一个二叉树的根节点 root ,树中每个节点都存放有一个 0 到 9 之间的数字。
每条从根节点到叶节点的路径都代表一个数字:
- 例如,从根节点到叶节点的路径
1 -> 2 -> 3表示数字123。
计算从根节点到叶节点生成的 所有数字之和 。
叶节点 是指没有子节点的节点。
示例 1:
输入: root = [1,2,3]
输出: 25
解释:
从根到叶子节点路径 1->2 代表数字 12
从根到叶子节点路径 1->3 代表数字 13
因此,数字总和 = 12 + 13 = 25
示例 2:
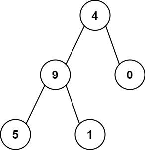
输入: root = [4,9,0,5,1]
输出: 1026
解释:
从根到叶子节点路径 4->9->5 代表数字 495
从根到叶子节点路径 4->9->1 代表数字 491
从根到叶子节点路径 4->0 代表数字 40
因此,数字总和 = 495 + 491 + 40 = 1026
提示:
- 树中节点的数目在范围
[1, 1000]内 0 <= Node.val <= 9- 树的深度不超过
10
# 思路
一眼题,dfs 就完事了,到叶子节点将 sum 加到答案中
# 代码
/** | |
* Definition for a binary tree node. | |
* function TreeNode(val, left, right) { | |
* this.val = (val===undefined ? 0 : val) | |
* this.left = (left===undefined ? null : left) | |
* this.right = (right===undefined ? null : right) | |
* } | |
*/ | |
/** | |
* @param {TreeNode} root | |
* @return {number} | |
*/ | |
var sumNumbers = function(root) { | |
let ans = 0 | |
let dfs = function(rt, sum) { | |
if(!rt) return | |
sum = sum*10 + rt.val | |
if(!rt.left && !rt.right) { | |
ans += sum | |
return | |
} | |
if(rt.left) dfs(rt.left, sum); | |
if(rt.right) dfs(rt.right, sum); | |
} | |
dfs(root, 0); | |
return ans; | |
}; |
# 239. 滑动窗口最大值
给你一个整数数组 nums ,有一个大小为 k ** 的滑动窗口从数组的最左侧移动到数组的最右侧。你只可以看到在滑动窗口内的 k 个数字。滑动窗口每次只向右移动一位。
返回 滑动窗口中的最大值 。
示例 1:
输入: nums = [1,3,-1,-3,5,3,6,7], k = 3
输出: [3,3,5,5,6,7]
解释:
滑动窗口的位置 最大值
--------------- -----
[1 3 -1] -3 5 3 6 7 3
1 [3 -1 -3] 5 3 6 7 3
1 3 [-1 -3 5] 3 6 7 5
1 3 -1 [-3 5 3] 6 7 5
1 3 -1 -3 [5 3 6] 7 6
1 3 -1 -3 5 [3 6 7] 7
示例 2:
输入: nums = [1], k = 1
输出: [1]
提示:
1 <= nums.length <= 10^5-10^4 <= nums[i] <= 10^41 <= k <= nums.length
# 思路
队列 q 存储下标,其对应元素单调递减
- 若滑动窗口中两个元素
j < i并且nums[j] <= nums[i],只要j还在窗口中,那么i一定也还在窗口中,所以最值一定不是nums[j],故可以将其移除 - 滑动过程中记录,若队尾元素小于等于当前新元素,则弹出,直到为空或者队尾元素大于新元素
- 同时若队头所存下标
q[0]小于窗口左侧l,则不断将队首弹出
# 代码
/** | |
* @param {number[]} nums | |
* @param {number} k | |
* @return {number[]} | |
*/ | |
var maxSlidingWindow = function(nums, k) { | |
let q = [] | |
for(let i = 0; i < k; ++i) { // 可以移除就移除 | |
while(q.length != 0 && nums[i] >= nums[q[q.length-1]]) | |
q.pop() | |
q.push(i) | |
} | |
let ans = [nums[q[0]]] | |
let len = nums.length | |
for(let l = 1; l+k-1 < len; ++l) { | |
let r = l+k-1 | |
while(q.length != 0 && nums[r] >= nums[q[q.length-1]]) | |
q.pop() | |
q.push(r) | |
while(q.length != 0 && q[0] < l) | |
q.shift() // 队首弹出 | |
ans.push(nums[q[0]]) | |
} | |
return ans | |
}; |
