day17 题目:141. 环形链表、236. 二叉树的最近公共祖先、92. 反转链表 II
学习计划链接:冲刺春招 - 精选笔面试 66 题大通关
今日知识点:快慢指针、dfs、链表,难度为简单、中等、中等
昨日题目链接:冲刺春招 - 精选笔面试 66 题大通关 day16
# 141. 环形链表
给你一个链表的头节点 head ,判断链表中是否有环。
如果链表中有某个节点,可以通过连续跟踪 next 指针再次到达,则链表中存在环。 为了表示给定链表中的环,评测系统内部使用整数 pos 来表示链表尾连接到链表中的位置(索引从 0 开始)。注意: pos 不作为参数进行传递 。仅仅是为了标识链表的实际情况。
如果链表中存在环 ,则返回 true 。 否则,返回 false 。
示例 1:
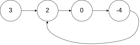
输入: head = [3,2,0,-4], pos = 1
输出: true
解释: 链表中有一个环,其尾部连接到第二个节点。
示例 2:
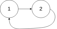
输入: head = [1,2], pos = 0
输出: true
解释: 链表中有一个环,其尾部连接到第一个节点。
示例 3:
输入: head = [1], pos = -1
输出: false
解释: 链表中没有环。
提示:
- 链表中节点的数目范围是
[0, 10^4] -10^5 <= Node.val <= 10^5pos为-1或者链表中的一个 有效索引 。
进阶: 你能用 O(1) (即,常量)内存解决此问题吗?
# 思路
快慢指针,快指针一次走两步,慢指针一次走一步,若有环则一定会遇上的,否则没有环
# 代码
/** | |
* Definition for singly-linked list. | |
* function ListNode(val) { | |
* this.val = val; | |
* this.next = null; | |
* } | |
*/ | |
/** | |
* @param {ListNode} head | |
* @return {boolean} | |
*/ | |
var hasCycle = function(head) { | |
if(!head) return false | |
let [f, s] = [head, head] | |
while(s.next && f.next && f.next.next) { | |
f = f.next.next; | |
s = s.next | |
if(f === s) return true; | |
} | |
return false; | |
}; |
# 236. 二叉树的最近公共祖先
给定一个二叉树,找到该树中两个指定节点的最近公共祖先。
百度百科中最近公共祖先的定义为:“对于有根树 T 的两个节点 p、q,最近公共祖先表示为一个节点 x,满足 x 是 p、q 的祖先且 x 的深度尽可能大(一个节点也可以是它自己的祖先)。”
示例 1:
输入: root = [3,5,1,6,2,0,8,null,null,7,4], p = 5, q = 1
输出: 3
解释: 节点 5 和节点 1 的最近公共祖先是节点 3 。
示例 2:
输入: root = [3,5,1,6,2,0,8,null,null,7,4], p = 5, q = 4
输出: 5
解释: 节点 5 和节点 4 的最近公共祖先是节点 5 。因为根据定义最近公共祖先节点可以为节点本身。
示例 3:
输入: root = [1,2], p = 1, q = 2
输出: 1
提示:
- 树中节点数目在范围
[2, 10^5]内。 -10^9 <= Node.val <= 10^9- 所有
Node.val互不相同。 p != qp和q均存在于给定的二叉树中。
# 思路
先从一个节点往上走将沿途的 vis 置为 true,再从另一个结点往上走,遇到 vis 为 true 的就是最近共同祖先,返回。
# 代码
/** | |
* Definition for a binary tree node. | |
* function TreeNode(val) { | |
* this.val = val; | |
* this.left = this.right = null; | |
* } | |
*/ | |
/** | |
* @param {TreeNode} root | |
* @param {TreeNode} p | |
* @param {TreeNode} q | |
* @return {TreeNode} | |
*/ | |
var lowestCommonAncestor = function(root, p, q) { | |
let fa = new Map() | |
let vis = new Map() | |
let init = function(rt) { | |
vis.set(rt.val, false); | |
if(rt.left) { | |
fa.set(rt.left.val, rt) | |
init(rt.left) | |
} | |
if(rt.right) { | |
fa.set(rt.right.val, rt) | |
init(rt.right) | |
} | |
} | |
fa.set(root.val, null) | |
init(root) | |
let ptr = p | |
while(ptr && fa.has(ptr.val)) { | |
vis.set(ptr.val, true) | |
ptr = fa.get(ptr.val) | |
} | |
ptr = q | |
while(ptr && fa.has(ptr.val)) { | |
if(vis.get(ptr.val)) return ptr | |
ptr = fa.get(ptr.val) | |
} | |
} |
# 92. 反转链表 II
给你单链表的头指针 head 和两个整数 left 和 right ,其中 left <= right 。请你反转从位置 left 到位置 right 的链表节点,返回 反转后的链表 。
示例 1:
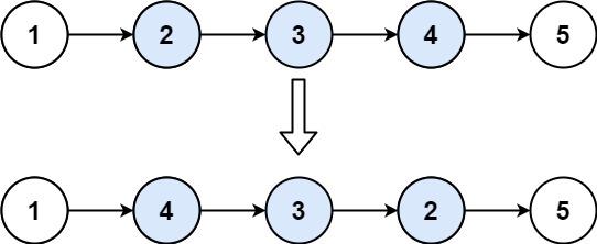
输入: head = [1,2,3,4,5], left = 2, right = 4
输出: [1,4,3,2,5]
示例 2:
输入: head = [5], left = 1, right = 1
输出: [5]
提示:
- 链表中节点数目为
n 1 <= n <= 500-500 <= Node.val <= 5001 <= left <= right <= n
进阶: 你可以使用一趟扫描完成反转吗?
# 思路
哎,先来一个反转链表的函数,day1 的 K 组一个反转链表里边我们就写过:
var reverseList = function(s, e) { | |
let prev = e.next | |
let nowv = s | |
while(prev != e) { | |
let temp = nowv.next | |
nowv.next = prev | |
prev = nowv | |
nowv = temp | |
} | |
return [e, s] | |
} |
然后,当务之急是找到 left 和 right 对应的结点指针 l 和 r ,以及 l 前面的 prev
- 翻转
let [s, e] = reverseList(l, r), 记得在之前先把r.next存到temp - 为了让反转后子链表能够顺利的拼回去原链表,需将反转后的
pre.next指向s,e.next指向temp
# 代码
/** | |
* Definition for singly-linked list. | |
* function ListNode(val, next) { | |
* this.val = (val===undefined ? 0 : val) | |
* this.next = (next===undefined ? null : next) | |
* } | |
*/ | |
var reverseList = function(s, e) { | |
let prev = e.next | |
let nowv = s | |
while(prev != e) { | |
let temp = nowv.next | |
nowv.next = prev | |
prev = nowv | |
nowv = temp | |
} | |
return [e, s] | |
} | |
/** | |
* @param {ListNode} head | |
* @param {number} left | |
* @param {number} right | |
* @return {ListNode} | |
*/ | |
var reverseBetween = function(head, left, right) { | |
let ehead = new ListNode(0, head) | |
let [prev, nowv, prel, l, r] = [ehead, head, ehead, head, head] | |
for(let cnt = 1; nowv; ++cnt, nowv = nowv.next) { | |
if(cnt === left) { | |
prel = prev | |
l = nowv | |
} | |
if(cnt === right) r = nowv | |
prev = nowv | |
} | |
let temp = r.next | |
let [s, e] = reverseList(l, r) | |
prel.next = s | |
e.next = temp | |
return ehead.next | |
}; |
