day12 题目:剑指 Offer 25. 合并两个排序的链表、剑指 Offer 52. 两个链表的第一个公共节点
知识点:链表、哈希、双指针,难度为简单、简单
学习计划链接:「剑指 Offer」 - 学习计划
| 题目 | 知识点 | 难度 |
|---|---|---|
| 剑指 Offer 25. 合并两个排序的链表 | 递归、链表 | 简单 |
| 剑指 Offer 52. 两个链表的第一个公共节点 | 哈希表、链表、双指针 | 简单 |
# 剑指 Offer 25. 合并两个排序的链表
输入两个递增排序的链表,合并这两个链表并使新链表中的节点仍然是递增排序的。
示例 1:
输入: 1->2->4, 1->3->4
输出: 1->1->2->3->4->4
限制:
0 <= 链表长度 <= 1000
注意:本题与主站 21 题相同:https://leetcode-cn.com/problems/merge-two-sorted-lists/
# 思路及代码
当 l1 和 l2 都不是空链表时,判断 l1 和 l2 哪个链表的当前节点的值更小,将较小值的节点添加到结果里,最终判断一下哪个链表还有剩的都接上去
/** | |
* @param {ListNode} l1 | |
* @param {ListNode} l2 | |
* @return {ListNode} | |
*/ | |
var mergeTwoLists = function(l1, l2) { | |
let ehead = new ListNode(0) | |
let nowv = ehead | |
while(l1 && l2) { | |
if(l1.val >= l2.val) { | |
nowv.next = new ListNode(l2.val) | |
l2 = l2.next | |
nowv = nowv.next | |
} else { | |
nowv.next = new ListNode(l1.val) | |
l1 = l1.next | |
nowv = nowv.next | |
} | |
} | |
if(l1) nowv.next = l1 | |
else if(l2) nowv.next = l2 | |
return ehead.next | |
}; |
# 剑指 Offer 52. 两个链表的第一个公共节点
输入两个链表,找出它们的第一个公共节点。
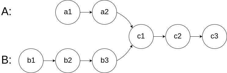
如下面的两个链表 :
在节点 c1 开始相交。
示例 1:
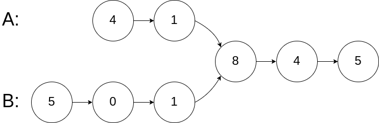
输入: intersectVal = 8, listA = [4,1,8,4,5], listB = [5,0,1,8,4,5], skipA = 2, skipB = 3
输出: Reference of the node with value = 8
输入解释: 相交节点的值为 8 (注意,如果两个列表相交则不能为 0)。从各自的表头开始算起,链表 A 为 [4,1,8,4,5],链表 B 为 [5,0,1,8,4,5]。在 A 中,相交节点前有 2 个节点;在 B 中,相交节点前有 3 个节点。
示例 2:
输入: intersectVal = 2, listA = [0,9,1,2,4], listB = [3,2,4], skipA = 3, skipB = 1
输出: Reference of the node with value = 2
输入解释: 相交节点的值为 2 (注意,如果两个列表相交则不能为 0)。从各自的表头开始算起,链表 A 为 [0,9,1,2,4],链表 B 为 [3,2,4]。在 A 中,相交节点前有 3 个节点;在 B 中,相交节点前有 1 个节点。
示例 3:
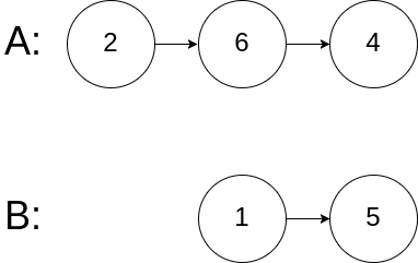
输入: intersectVal = 0, listA = [2,6,4], listB = [1,5], skipA = 3, skipB = 2
输出: null
输入解释: 从各自的表头开始算起,链表 A 为 [2,6,4],链表 B 为 [1,5]。由于这两个链表不相交,所以 intersectVal 必须为 0,而 skipA 和 skipB 可以是任意值。
解释: 这两个链表不相交,因此返回 null。
注意:
- 如果两个链表没有交点,返回
null. - 在返回结果后,两个链表仍须保持原有的结构。
- 可假定整个链表结构中没有循环。
- 程序尽量满足 O (n) 时间复杂度,且仅用 O (1) 内存。
- 本题与主站 160 题相同:https://leetcode-cn.com/problems/intersection-of-two-linked-lists/
# 思路及代码
思路 1:简单粗暴的用哈希存储 a 中出现过的结点,再遍历 b 链表判断,但这显然不满足 O (1) 内存。
/** | |
* @param {ListNode} headA | |
* @param {ListNode} headB | |
* @return {ListNode} | |
*/ | |
var getIntersectionNode = function(headA, headB) { | |
let m = new Map() | |
let [a, b] = [headA, headB] | |
while(a) { | |
m.set(a, a) | |
a = a.next | |
} | |
while(b) { | |
if(m.has(b)) return b | |
b = b.next | |
} | |
return null | |
}; |
思路 2:题解中提到利用双指针
设 a 、 b 初始指向 headA 和 headB ,
有两种情况,
情况 1 两个链表相交,设链表 headA 的不相交部分有 a 个结点,链表 headB 的不相交部分有 b 个结点,两链表相交部分有 c 个结点,则有
a = b时,两个指针同时到达第一个公共节点,此时返回这个公共节点就行。a != b时,指针pA遍历完链表headA后去遍历headB,在指针pA移动了a+c+b次、pB移动了b+c+a次后两指针会同时抵达公共节点!此时返回的也是第一个公共节点
情况 2:两个链表不相交
不相交时,设链表 headA 、 headB 长度分别为 m 、 n ,则有
m = n时,两个指针会同时到达尾节点同时变为null,此时返回nullm != n时,两个指针都会遍历完整个链表后遍历另一个,在指针pA移动了m + n次、指针pB移动了n + m次后两个指针又会同时变为null,也返回null
那么代码思路就很明显了,创建两个指针,初始时分别指向两个链表的头节点,然后将两个指针依次遍历两个链表的每个节点
- 每步操作需要同时更新两个指针
- 若指针不为空则将其往后移
- 若指针为空了则将其移至另一个链表头节点
- 当两指针指向同一结点或都为空了,返回其中一个指针就行
/** | |
* @param {ListNode} headA | |
* @param {ListNode} headB | |
* @return {ListNode} | |
*/ | |
var getIntersectionNode = function(headA, headB) { | |
if(!headA || !headB) return null | |
let [a, b] = [headA, headB] | |
while(a !== b) { | |
a = a.next | |
b = b.next | |
if(!a && !b) return null | |
if(!a) a = headB | |
if(!b) b = headA | |
} | |
return a | |
}; |
