day20 题目:剑指 Offer 07. 重建二叉树、剑指 Offer 16. 数值的整数次方、剑指 Offer 33. 二叉搜索树的后序遍历序列
知识点:树、递归、分治,难度为中等、中等、中等
学习计划链接:「剑指 Offer」 - 学习计划
| 题目 | 知识点 | 难度 |
|---|---|---|
| 剑指 Offer 07. 重建二叉树 | 树、数组、哈希表、分治 | 中等 |
| 剑指 Offer 16. 数值的整数次方 | 递归、数学 | 中等 |
| 剑指 Offer 33. 二叉搜索树的后序遍历序列 | 栈、树、二叉搜索树、递归 | 中等 |
# 剑指 Offer 07. 重建二叉树
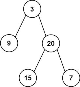
输入某二叉树的前序遍历和中序遍历的结果,请构建该二叉树并返回其根节点。
假设输入的前序遍历和中序遍历的结果中都不含重复的数字。
示例 1:
Input: preorder = [3,9,20,15,7], inorder = [9,3,15,20,7]
Output: [3,9,20,null,null,15,7]
示例 2:
Input: preorder = [-1], inorder = [-1]
Output: [-1]
限制:
0 <= 节点个数 <= 5000
# 思路及代码
冲刺春招 - 精选笔面试 66 题大通关 day9 同款题目
因为无重复,所以找出根节点在中序遍历中的下标,算出左右子节点数量,切分递归构建即可。
/** | |
* @param {number[]} preorder | |
* @param {number[]} inorder | |
* @return {TreeNode} | |
*/ | |
var buildTree = function(preorder, inorder) { | |
if(preorder.length === 0) return null | |
let root = new TreeNode(preorder[0]) | |
let index = inorder.indexOf(preorder[0]) | |
root.left = buildTree(preorder.slice(1, index + 1), inorder.slice(0, index)) | |
root.right = buildTree(preorder.slice(index + 1), inorder.slice(index + 1)) | |
return root | |
}; |
# 剑指 Offer 16. 数值的整数次方
实现 pow(x, n) ,即计算 x 的 n 次幂函数(即,xn)。不得使用库函数,同时不需要考虑大数问题。
示例 1:
输入: x = 2.00000, n = 10
输出: 1024.00000
示例 2:
输入: x = 2.10000, n = 3
输出: 9.26100
示例 3:
输入: x = 2.00000, n = -2
输出: 0.25000
解释: 2-2 = 1/22 = 1/4 = 0.25
提示:
-100.0 < x < 100.0-2^31 <= n <= 2^31-1-10^4 <= xn <= 10^4
注意:本题与主站 50 题相同:https://leetcode-cn.com/problems/powx-n/
# 思路及代码
快速幂板子题,就是稍微注意下,踩了个坑,JS 中右移符号 >> 是算术移位,需要考虑符号位,而这里应该用 >>> 逻辑右移,详见 javascript 解决问题移位运算的坑
/** | |
* @param {number} x | |
* @param {number} n | |
* @return {number} | |
*/ | |
var myPow = function(x, n) { | |
// 快速幂嘛。处理下 n 为负数的情况 | |
function qpow(x, n) { | |
if(x == 1) return 1 | |
let res = 1 | |
while(n) { | |
if(n & 1) res *= x | |
x *= x | |
n >>>= 1 | |
} | |
return res | |
} | |
return n < 0 ? 1 / qpow(x, -n) : qpow(x, n) | |
}; |
# 剑指 Offer 33. 二叉搜索树的后序遍历序列
输入一个整数数组,判断该数组是不是某二叉搜索树的后序遍历结果。如果是则返回 true ,否则返回 false 。假设输入的数组的任意两个数字都互不相同。
参考以下这颗二叉搜索树:
5
/ \
2 6
/ \
1 3
示例 1:
输入: [1,6,3,2,5]
输出: false
示例 2:
输入: [1,3,2,6,5]
输出: true
提示:
数组长度 <= 1000
# 思路及代码
/** | |
* @param {number[]} postorder | |
* @return {boolean} | |
*/ | |
var verifyPostorder = function(postorder) { | |
// 小大中间 | |
function verify(l, r) { | |
if(l >= r) return true | |
let root = postorder[r] | |
let leftRT = l | |
// 小 找到第一个大的 实际左子树的根为 leftRT-1 | |
while(postorder[leftRT] < root) ++leftRT | |
let rightRT = leftRT | |
// 大 找到第一个小的 按理说会找到 root 的位置。 | |
while(postorder[rightRT] > root) rightRT++ | |
return rightRT == r && verify(l, leftRT - 1) && verify(leftRT, r - 1) | |
// 验证左右子树 | |
} | |
return verify(0, postorder.length - 1) | |
}; |
