# 本节课重点内容

# Why WebGL / Why GPU?

  • WebGL 是什么?
    • GPU ≠ WebGL ≠ 3D
  • WebGL 为什么不像其他前端技术那么简单?

# 现代的图像系统

  • 光栅 (Raster):几乎所有的现代图形系统都是基于光栅来绘制图形的,光栅就是指构成图像的像素阵列
  • 像素 (Pixel)一个像素对应图像上的一个点,它通常保存图像上的某个具体位置的颜色等信息。
  • 帧缓存 (Frame Buffer):在绘图过程中,像素信息被存放于帧缓存中,帧缓存是一块内存地址。
  • CPU (Central Processing Unit):中央处理单元,负责逻辑计算
  • GPU (Graphics Processing Unit):图形处理单元,负责图形计算

image.png

  • 如上图,现代图像的渲染如图过程
  1. 轮廓提取 /meshing
  2. 光栅化
  3. 帧缓存
  4. 渲染

# The Pipeline

image.png

# GPU

  • GPU 由大量的小运算单元构成
  • 每个运算单元只负责处理很简单的计算
  • 每个运算单元彼此独立
  • 因此所有计算可以并行处理

# WebGL & OpenGL 关系

OpenGL, OpenGL ES, WebGL, GLSL, GLSL ES API Tables (umich.edu)

image.png

# WebGL 绘图步骤

步骤

  1. 创建 WebGL 上下文
  2. 创建 WebGL Program
  3. 将数据存入缓冲区
  4. 将缓冲区数据读取到 GPU
  5. GPU 执行 WebGL 程序,输出结果

image.png

如图,针对几个单词进行解释:

  • Raw Vertices & Primitives 原始顶点 & 原语
  • Vertex Processor 顶点着色器
  • 运算后送到 片元着色器 进行处理:Fragment Processor

# 创建 WebGL 上下文

const canvas = document.querySelector('canvas');
const gl = canvas.getContext('webgl');
// 创建上下文, 注意兼容
function create3DContext(canvas, options) {
    const names = ['webgl', 'experimental-webgL','webkit-3d','moz-webgl'];  // 特性判断
    if(options.webgl2) names.unshift(webgl2);
    let context = null;
    for(let ii = 0; ii < names.length; ++ii) {
        try {
            context = canvas.getContext(names[ii], options);
        } catch(e) {
            // no-empty
        }
        if(context) {
            break;
        }
    }
    return context;
}

# 创建 WebGL Program(The Shaders)

  1. Vertex Shader(顶点着色器)

    通过类型数组 position,并行处理每个顶点的位置

    attribute vec2 position;//vec2 二维向量
    void main() {
        gl_PointSize = 1.0;
        gl_Position = vec4(position, 1.0, 1.0);
    }
  2. Fragment Shader(片元着色器)

    为顶点轮廓包围的区域内所有像素进行着色

    precision mediump float;
    void main() {
        gl_FragColor = vec4(1.0, 0.0, 0.0, 1.0);// 对应 rgba(255,0,0,1.0),红色
    }

其具体步骤如下:

  1. 创建顶点着色器和片元着色器代码:

    // 顶点着色器程序代码
    const vertexShaderCode = `
    attribute vec2 position;
    void main() {
        gl_PointSize = 1.0;
        gl_Position = vec4(position, 1.0, 1.0);
    }
    `;
    // 片元着色器程序代码
    const fragmentShaderCode = `
    precision mediump float;
    void main() {
        gl_FragColor = vec4(1.0, 0.0, 0.0, 1.0);
    }
    `;
  2. 使用 createShader() 创建着色器对象

  3. 使用 shaderSource() 设置着色器的程序代码

  4. 使用 compileShader() 编译一个着色器

    // 顶点着色器
    const vertexShader = gl.createShader(gl.VERTEX_SHADER);
    gl.shaderSource(vertexShader, vertex);
    gl.compileShader(vertexShader);
    // 片元着色器
    const fragmentShader = gl.createShader(gl.FRAGMENT_SHADER);
    gl.shaderSource(fragmentShader, fragment);
    gl.compileShader(fragmentShader);
  5. 使用 ** createProgram() ** 创建 WebGLProgram 对象

  6. 使用 attachShader() WebGLProgram 添加一个片段或者顶点着色器。

  7. 使用 ** linkProgram() ** 链接给定的 WebGLProgram ,从而完成为程序的片元和顶点着色器准备 GPU 代码的过程。

  8. 使用 useProgram() 将定义好的 WebGLProgram 对象添加到当前的渲染状态

    // 创建着色器程序并链接
    const program = gl.createProgram();
    gl.attachShader(program, vertexShader);
    gl.attachShader(program, fragmentShader);
    gl.linkProgram(program);
    gl.useProgram(program);

# 将数据存到缓冲区中(Data to Frame Buffer)

  • 坐标轴:webGL 的坐标系统是归一化的,浏览器和 canvas2D 的坐标系统是以左上角为坐标原点,y 轴向下,x 轴向右,坐标值相对于原点。而 webGL 的坐标系是以绘制画布的中心点为原点正常的笛卡尔坐标系

通过一个顶点数组表示其顶点,使用 createBuffer() 创建并初始化一个用于储存顶点数据或着色数据的 WebGLBuffer 对象并返回 bufferId ,然后使用 bindBuffer() 将给定的 bufferId 绑定到目标并返回,最后使用 ** bufferData() **,将数据绑定至 buffer 中。

// 顶点数据
const points = new Float32Array([
    -1, -1,
    0, 1,
    1, -1,
]);
// 创建缓冲区
const bufferId = gl.createBuffer();
gl.bindBuffer(gl.ARRAY_BUFFER, bufferId);
gl.bufferData(gl.ARRAY_BUFFER, points, gl.STATIC_DRAW);

# 读取缓冲区数据到 GPU(Frame Buffer to GPU)

  • getAttribLocation() 返回了给定 WebGLProgram 对象中某属性的下标指向位置。

  • vertexAttribPointer() 告诉显卡从当前绑定的缓冲区(bindBuffer () 指定的缓冲区)中读取顶点数据。

  • enableVertexAttribArray() 可以打开属性数组列表中指定索引处的通用顶点属性数组。

const vPosition = gl.getAttribLocation(program, 'position'); // 获取顶点着色器中的 position 变量的地址
gl.vertexAttribPointer(vPosition, 2, gl.FLOAT, false, 0, 0); // 给变量设置长度和类型
gl.enableVertexAttribArray(vPosition); // 激活这个变量

# 输出结果(Output)

Output

drawArrays() 从向量数组中绘制图元

// output
gl.clear(gl.COLOR_BUFFER_BIT);  // 清除缓冲的数据
gl.drawArrays(gl.TRIANGLES, 0, points.length / 2);

image.png

# WebGL 太复杂?其他方式

# canvas 2D

看看人家 canvas2D,绘制同样的三角形:

//canvas 简单粗暴,都封装好了
const canvas = document.querySelector('canvas');
const ctx = canvas.getContext('2d');
ctx.beginPath();
ctx.moveTo(250, 0);
ctx.lineTo(500, 500);
ctx.lineTo(0, 500);
ctx.fillStyle = 'red';
ctx.fill();

# Mesh.js

mesh-js/mesh.js: A graphics system born for visualization 😘. (github.com)

const {Renderer, Figure2D, Mesh2D} = meshjs;
const canvas = document.querySelector ('canvas');
const renderer = new Renderer(canvas);
const figure = new Figure2D();
figurie.beginPath();
figure.moveTo(250, 0);
figure.lineTo(500500);
figure.lineTo(0, 500);
const mesh = new Mesh2D(figure, canvas);
mesh.setFill({
    color: [1, 0, 0, 1],
});
renderer.drawMeshes([mesh]);

# Earcut

使用 Earcut 进行三角剖分

const vertices = [
    [-0.7, 0.5],
    [-0.4, 0.3],
    [-0.25, 0.71],
    [-0.1, 0.56],
    [-0.1, 0.13],
    [0.4, 0.21],
    [0, -0.6],
    [-0.3, -0.3],
    [-0.6, -0.3],
    [-0.45, 0.0],
];
const points = vertices.flat();
const triangles = earcut(points)

# 3D Meshing

由设计师导出给我们,再提取

SpriteJS/next - The next generation of spritejs.

# 图形变换(Transforms)

这就是数字图像处理相关的知识了(学过的都还回来了.jpg)

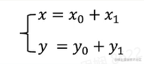
# 平移

image.png

# 旋转

image.png

# 缩放

image.png

# 线性变换(旋转 + 缩放)

image.png

image.png

从线性变换到齐次矩阵

image.png

老师的又一个栗子:Apply Transforms

# 3D Matrix

3D 标准模型的四个齐次矩阵 (mat4)

  1. 投影矩阵 Projection Matrix(正交投影和透视投影)
  2. 模型矩阵 Model Matrix (对顶点进行变换 Transform)
  3. 视图矩阵 View Matrix(3D 的视角,想象成一个相机,在相机的视口下)
  4. 法向量矩阵 Normal Matrix(垂直于物体表面的法向量,通常用于计算物体光照)

# Read more

  1. The Book of Shaders (介绍片元着色器,非常好玩的)
  2. Mesh.js (底层库,欸嘿)
  3. Glsl Doodle (片元着色器的一个轻量库,有很多小 demo)
  4. SpriteJS (月影老师写的开源库 orz)
  5. Three.js(很多有意思的游戏项目)
  6. Shadertoy BETA(很多有意思的项目)

# 总结感想

这节课老师非常详尽的讲解了 WebGL 的绘图及其相关库,展示了很多有意思的 WebGL 小项目~

本文引用的大部分内容来自月影老师的课和 MDN!月影老师,tql!