day19 题目:160. 相交链表、143. 重排链表、142. 环形链表 II
今日知识点:链表、递归、双指针,难度为简单、中等、中等
学习计划链接:冲刺春招 - 精选笔面试 66 题大通关
昨日题目链接:冲刺春招 - 精选笔面试 66 题大通关 day18
# 160. 相交链表
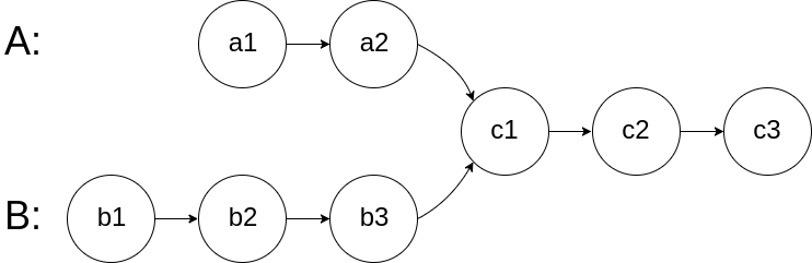
给你两个单链表的头节点 headA 和 headB ,请你找出并返回两个单链表相交的起始节点。如果两个链表不存在相交节点,返回 null 。
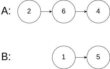
图示两个链表在节点 c1 开始相交 :
题目数据 保证 整个链式结构中不存在环。
注意,函数返回结果后,链表必须 保持其原始结构 。
自定义评测:
评测系统 的输入如下(你设计的程序 不适用 此输入):
intersectVal- 相交的起始节点的值。如果不存在相交节点,这一值为0listA- 第一个链表listB- 第二个链表skipA- 在listA中(从头节点开始)跳到交叉节点的节点数skipB- 在listB中(从头节点开始)跳到交叉节点的节点数
评测系统将根据这些输入创建链式数据结构,并将两个头节点 headA 和 headB 传递给你的程序。如果程序能够正确返回相交节点,那么你的解决方案将被 视作正确答案 。
示例 1:
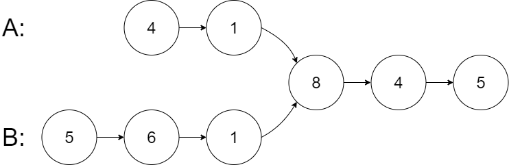
输入: intersectVal = 8, listA = [4,1,8,4,5], listB = [5,6,1,8,4,5], skipA = 2, skipB = 3
输出: Intersected at '8'
解释: 相交节点的值为 8 (注意,如果两个链表相交则不能为 0)。
从各自的表头开始算起,链表 A 为 [4,1,8,4,5],链表 B 为 [5,6,1,8,4,5]。
在 A 中,相交节点前有 2 个节点;在 B 中,相交节点前有 3 个节点。
示例 2:
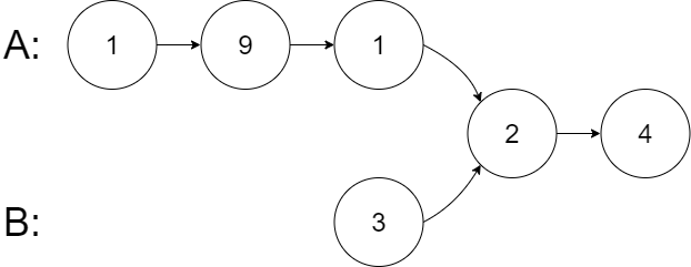
输入: intersectVal = 2, listA = [1,9,1,2,4], listB = [3,2,4], skipA = 3, skipB = 1
输出: Intersected at '2'
解释: 相交节点的值为 2 (注意,如果两个链表相交则不能为 0)。
从各自的表头开始算起,链表 A 为 [1,9,1,2,4],链表 B 为 [3,2,4]。
在 A 中,相交节点前有 3 个节点;在 B 中,相交节点前有 1 个节点。
示例 3:
输入: intersectVal = 0, listA = [2,6,4], listB = [1,5], skipA = 3, skipB = 2
输出: null
解释: 从各自的表头开始算起,链表 A 为 [2,6,4],链表 B 为 [1,5]。
由于这两个链表不相交,所以 intersectVal 必须为 0,而 skipA 和 skipB 可以是任意值。
这两个链表不相交,因此返回 null 。
提示:
listA中节点数目为mlistB中节点数目为n1 <= m, n <= 3 * 10^41 <= Node.val <= 10^50 <= skipA <= m0 <= skipB <= n- 如果
listA和listB没有交点,intersectVal为0 - 如果
listA和listB有交点,intersectVal == listA[skipA] == listB[skipB]
进阶: 你能否设计一个时间复杂度 O(m + n) 、仅用 O(1) 内存的解决方案?
# 思路
双指针,利用 prea 和 preb 作为 a 和 b 的前一个结点,当 prea === preb 时说明这当前节点上一个节点都是同一个结点
# 代码
/** | |
* Definition for singly-linked list. | |
* function ListNode(val) { | |
* this.val = val; | |
* this.next = null; | |
* } | |
*/ | |
/** | |
* @param {ListNode} headA | |
* @param {ListNode} headB | |
* @return {ListNode} | |
*/ | |
var getIntersectionNode = function(headA, headB) { | |
if(!headA || !headB) return null | |
let [prea, preb] = [headA, headB] | |
while(prea !== preb) { | |
prea = prea.next | |
preb = preb.next | |
if(prea === preb) return prea | |
if(!prea) prea = headB | |
if(!preb) preb = headA | |
} | |
return prea | |
}; |
# 143. 重排链表
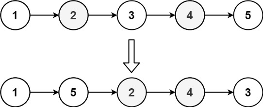
给定一个单链表 L ** 的头节点 head ,单链表 L 表示为:
L0 → L1 → … → Ln - 1 → Ln
请将其重新排列后变为:
L0 → Ln → L1 → Ln - 1 → L2 → Ln - 2 → …
不能只是单纯的改变节点内部的值,而是需要实际的进行节点交换。
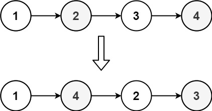
示例 1:
输入: head = [1,2,3,4]
输出: [1,4,2,3]
示例 2:
输入: head = [1,2,3,4,5]
输出: [1,5,2,4,3]
提示:
- 链表的长度范围为
[1, 5 * 10^4] 1 <= node.val <= 1000
# 思路
- 若没有结点或只有一两个结点,则无需操作。
- 每次将最后一个结点
nowv接在头结点head后面 - 然后将倒数第二个结点
prev置为最后一个节点 - 再对递归的原本的第三个结点
nowv.next以及之后的链表进行该操作
# 代码
/** | |
* @param {ListNode} head | |
* @return {void} Do not return anything, modify head in-place instead. | |
*/ | |
var reorderList = function(head) { | |
if(!head || !head.next) return; | |
let [prev, nowv] = [null, head]; | |
while(nowv.next) { | |
prev = nowv | |
nowv = nowv.next | |
} | |
if(!prev || prev === head) return | |
prev.next = null | |
nowv.next = head.next | |
head.next = nowv | |
reorderList(nowv.next) | |
}; |
# 142. 环形链表 II
给定一个链表的头节点 head ,返回链表开始入环的第一个节点。 如果链表无环,则返回 null 。
如果链表中有某个节点,可以通过连续跟踪 next 指针再次到达,则链表中存在环。 为了表示给定链表中的环,评测系统内部使用整数 pos 来表示链表尾连接到链表中的位置(索引从 0 开始)。如果 pos 是 -1 ,则在该链表中没有环。注意: pos 不作为参数进行传递,仅仅是为了标识链表的实际情况。
不允许修改 链表。
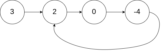
示例 1:
输入: head = [3,2,0,-4], pos = 1
输出: 返回索引为 1 的链表节点
解释: 链表中有一个环,其尾部连接到第二个节点。
示例 2:
输入: head = [1,2], pos = 0
输出: 返回索引为 0 的链表节点
解释: 链表中有一个环,其尾部连接到第一个节点。
示例 3:
输入: head = [1], pos = -1
输出: 返回 null
解释: 链表中没有环。
提示:
- 链表中节点的数目范围在范围
[0, 10^4]内 -10^5 <= Node.val <= 10^5pos的值为-1或者链表中的一个有效索引
进阶: 你是否可以使用 O(1) 空间解决此题?
# 思路
环形链表在冲刺春招 - 精选笔面试 66 题大通关 day17 中有做过,主要思想是快慢指针,快指针一次走两步,慢指针一次走一步,若有环则一定会遇上,否则没有环。
而这里需要返回入环处的结点,那么,当快指针 fast 等于慢指针 slow 时,设置一个新的指针 ptr 跟着 slow 一块走,最终 ptr 和 slow 就会在入环结点相遇。
推导如下,直接看官方的吧:
如下图所示,设链表中环外部分的长度为
a。slow指针进入环后,又走了b的距离与fast相遇。此时,假设fast指针已经走完了环的n圈,则fast走过的总距离为a+n(b+c)+b化简得a+(n+1)b+nc。
由于快指针每次都比慢指针多走一步,故fast走过的距离是slow的两倍,而slow走过的总距离为a+b,所以有a+(n+1)b+nc = 2(a+b),解得a = c+(n-1)(b+c)
- 也就是说,从相遇点到入环点的距离
c加上n-1圈环长(b+c),恰好等于链表头部到入环点的距离a- 因此,当发现
slow与fast相遇时,我们再额外使用一个指针ptr。起始,ptr指向链表头部。随后,ptr和slow每次向后移动一个位置。最终,它们会在入环点相遇。
# 代码
/** | |
* @param {ListNode} head | |
* @return {ListNode} | |
*/ | |
var detectCycle = function(head) { | |
let [slow, fast] = [head, head]; | |
while(fast && fast.next) { | |
slow = slow.next | |
fast = fast.next.next | |
if(slow === fast) break | |
} | |
if(!fast || !fast.next) return null | |
let p = head | |
while(p !== slow) { | |
p = p.next | |
slow = slow.next | |
} | |
return p | |
}; |
